一文带你了解RBF神经网络
一、 介绍
RBF神经网络模型是1988年由Moody和Darken提出的一种神经网络结构,属于前向神经网络类型,能够以任意精度逼近任意连续函数,特别适合于解决分类问题

二、径向基函数
径向基函数是取值仅仅依赖于离原点距离的实值函数即 φ(x)=φ(||x||)φ(x)=φ(||x||) (也可以是离任意点的距离,距离一般使用欧式距离[欧式径向基函数],也可以是其他距离函数),任何满足该特性的函数都φ都叫做径向基函数,通常定义为空间中任一点x到某一中心c之间欧氏距离的单调函数
常见的径向基函数包括(定义 为中心点r=||x−ci||[ci为中心点]r=||x-c_i || [c_i 为中心点] ,σ称为径向基函数的扩展函数(方差),它反应了函数图像的宽度,σ越小,宽度越窄,函数越具有选择性)



三、 结构
RBF网络是一种三层前向网络,第一层为由信号源节点组成的输入层,第二层为隐层,隐单元数视问题需要而定,隐单元的变换函数为非负非线性的函数RBF(径向基函数),第三层为输出层,输出层是对隐层神经元输出的线性组合
四、 RBF神经网络的两种模型
1) 正则化RBF网络(通用逼近器)
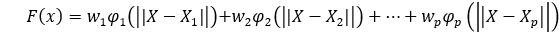
径向基函数解决插值问题
RBF的方法是选择P个基函数(即径向基函数 φ(||X−Xi||)φ(||X-X_i ||) ),每个基函数对应一个数据,则基于径向基函数的差值函数为:

其中P为样本容量
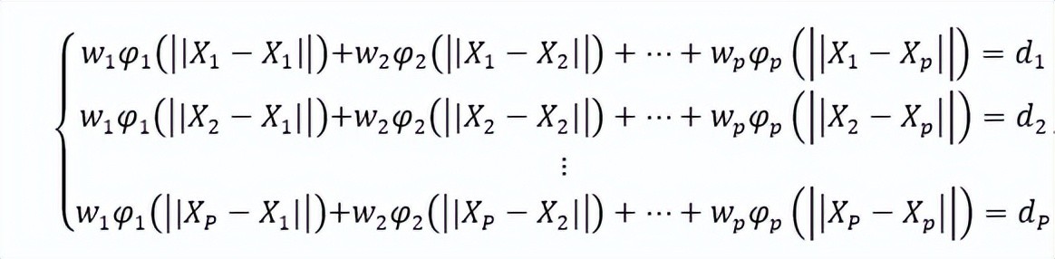
将插值条件代入得

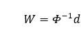
写成向量形式即

当Φ可逆时权向量为

正则化RBF网络
完全插值存在过拟合的问题,且不适定问题大量存在(不适定即超定,即函数个数等于训练样本数,当训练样本数远远大于物理过程中的自由度时,就称问题超定,拟合函数满足解的存在性、解的唯一性、解的连续性称问题适定),为解决该问题,引入正则化RBF网络
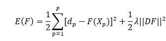
最小化目标函数来获得逼近函数
目标函数为(Tikhonov正则化理论):

目标函数第一项为均方误差,第二项为正则化项,其中D是一个线性微分算子,代表F(x)的先验知识,曲率大(光滑度低)的F(x)||DF||大,λ为正则化系数
最小化目标函数得到

则权向量为

其中 G(X,Xp)G(X,X_p ) 为Green函数,具体形式与算子D有关(Green函数的一个重要例子是多元Gauss函数),G为Green矩阵
正则化RBF网络的特点
1、 正则化网络是一种通用逼近器,只要有足够的节点,它可以以任意精度逼近任意多元连续函数
2、 具有最佳逼近特性,即对于任意非线性函数,总可以找到一组权值使得网络对于该函数的逼近优于所有可能选择
3、 隐节点数等于输入样本数,隐节点的激活函数为Green(格林)函数
2) 广义RBF网络(模式分类)
正则化RBF网络的训练样本与基函数是一一对应关系,在样本数很大时,网络的计算量大且权值矩阵也很大,求解时易出现病态问题,解决这个问题可以减少隐节点的个数(即隐节点个数大于样本特征数小于样本数),从而得到广义RBF神经网络
基本思想:
用径向基函数作为隐单元的“基”,构成隐层空间。隐层对输入向量进行变换,将低维空间的模式变换到高维空间中,使低维空间线性不可分的问题在高维空间内线性可分,然后用输出层来进行线性划分,完成分类功能
与正则化RBF网络的不同
1、径向基函数的个数与样本数不相等且大概率远小于样本数
2、径向基函数的中心不再限制在数据点而由训练算法确定
3、径向基函数的扩展常数不再统一而由训练算法决定
4、输出函数中包含阈值参数,用于补偿基函数在样本集上的平均值与目标值的平均值之间的差别
五、 RBF学习算法
RBF学习的三个参数
1、 基函数的中心 ci
2、 方差(扩展常数) σi
3、 隐层与输出层间的权值 wij
当采用正则化RBF网络结构时,隐节点数即样本数,基函数的数据中心即样本本身,参数设计只需考虑扩展常数和输出节点权值
当采用广义RBF网络结构时,RBF网络的学习算法需要解决的问题包括:如何确定网络隐节点数,如何确定各径向基函数的数据中心及扩展常数,以及如何修正输出权值
自组织中心选取法
1989年,Moody和Darken提出了一种由两个阶段组成的混合学习过程的思路(两个阶段即无监督的自组织学习阶段和有监督学习阶段)
无监督的自组织学习阶段
1、 中心学习
估计中心的个数h,从而确定隐节点个数(一般通过试验来确定),并应用KMeans聚类算法确定数据中心
2、 确定扩展常数 σi(i=1,2,⋯,h) σ_i (i=1,2,⋯,h)

其中 dmind_{min} 为所选取中心点的最小距离,λ为重叠系数
在监督学习阶段
3、学习权值 为输出层节点数wij(i=1,2,⋯,h;j=1,2,⋯J),J为输出层节点数w_{ij}(i=1,2,⋯,h;j=1,2,⋯J),J为输出层节点数
常用LMS法(最小均方算法),伪逆法更简单


六、RBF网络与BP网络的区别
对于任何一个BP网络,总存在一个RBF网络可以代替它,反之亦然,他们的不同点在于:
1、 RBF网络只有一个隐层,而BP网络不限制隐层的个数
2、 BP网络隐层和输出层神经元模型相同,而RBF网络不仅不同,且在网络中的作用也不同
3、 BP网络是对非线性映射的全局逼近,而RBF网络是对非线性映射的局部逼近,训练速度更快
七、 参考文档
1、 径向基函数(RBF)神经网络
https://www.cnblogs.com/zhangchaoyang/articles/2591663.html
2、 深度学习 --- 径向基神经网络RBF详解
https://blog.csdn.net/weixin_42398658/article/details/84342747
3、 RBF神经网络学习算法
ccccccc/wqg3et4hpng >4、 RBF(径向基)神经网络
http://t.zoukankan.com/pinking-p-9349695.html
#今日头条小助手##神经网络#