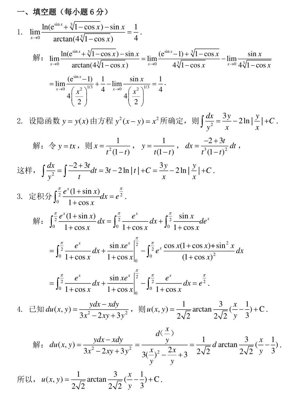
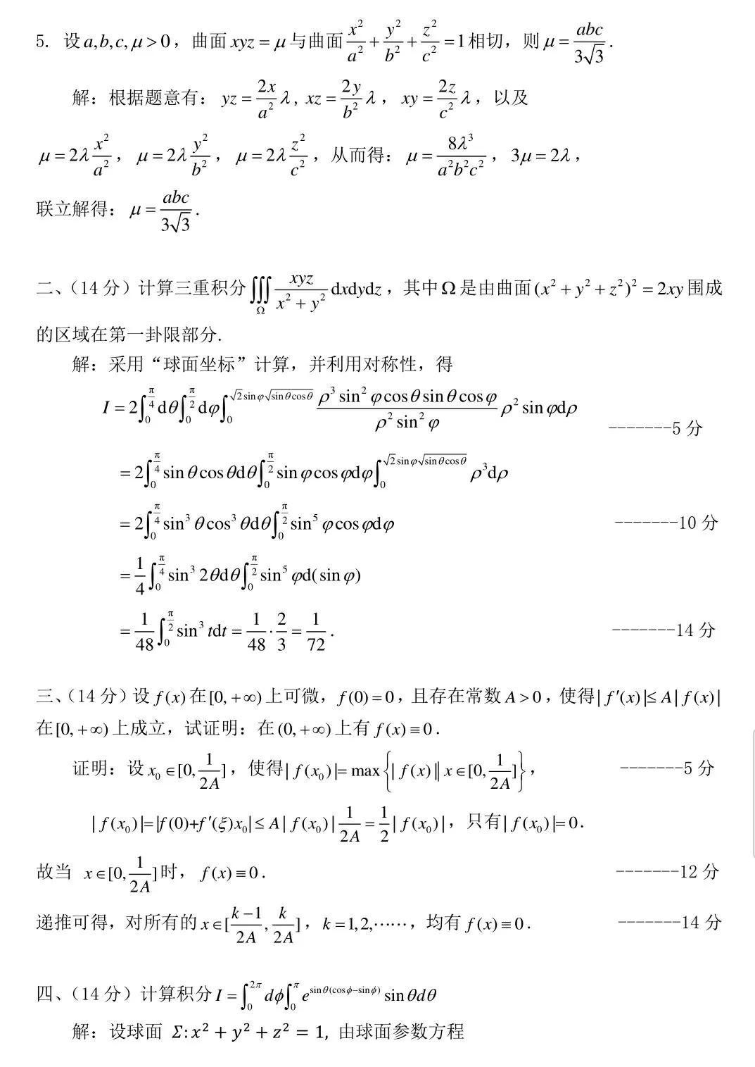
2019年第11届全国大学生数学竞赛试题及答案(非数学类)
2019年第11届全国大学生数学竞赛试题及答案(非数学类)
全国大学生数学竞赛始于2009年,首届竞赛由中国数学会主办、国防科技大学承办。全国大学生数学竞赛作为一项面向本科生的全国性高水平学科竞赛,为广大青年学子提供了一个展示数学基本功和数学思维的舞台。此后全国竞赛每年举办一次,一般由不同的高校承办。
竞赛分为初赛(也称预赛、省赛)、决赛两个阶段。初赛设置奖项(一等奖5%、二等奖7.5%、三等奖12.5%,总获奖率不超过25%),进入决赛难度比较大,一般每个赛区只有10个名额左右,需要在初赛中获得很好的名次才行。
2019年第十一届全国大学生数学竞赛,由中国数学会主办、武汉大学承办。全国共设置了32个赛区,报名参赛人数高达170787人。本人当时也参加了这次比赛,获得了初赛一等奖,赛区排名第10,就差2名就进入决赛。当时整个赛区共有5237人报名,其中非数学类有3992人,数学类有1245人,非数学类和数学类各有8个决赛名额。
这套竞赛试题难度还是挺大的,有些数学水平比较弱的省份十几分就能拿一等奖了,像四川、广东、江西这些赛区二十几分就能拿一等奖了,上海赛区因为985、211高校比较多,数学水平比较高,不过这次比赛在上海赛区30多分也可以拿一等奖。
下面是四川大学(985)和西南大学(211)两所学校非数学专业组的成绩情况:
一共1186人,40分以上的就只有16个人。可想而知,这次比赛的题目难度还是比较大的。

竞赛试题如下:




标签:
114
最新!沈阳铁路“复兴号”动车组列车时刻表来啦 提起“复兴号”动车组列车 沈阳人一定不会陌生 它高颜值、高大上 它是中国高铁名片 它奔驰在中国广袤的大地上 “复兴号”安全舒...
81
中国最后一个封建王朝——清朝 清朝是中国历史上最后一个封建王朝,从1616年努尔哈赤建立后金起,到1912年宣统帝下诏退位为止,共经历了296年的历史。 1616年,建州女真首领努尔哈...
177
一父亲联合后妈毒打12岁亲生女儿,妇联回应:有淤青,但非家暴? 近日,一网友发布了一条疑似父亲殴打孩子的视频,视频中孩子哭的撕心裂肺,大喊“我再也不说废话了”。并据拍...
92
许伟民看望慰问“结对关爱”帮扶联系户并调研工作 6月6日,县委副书记、县长许伟民看望慰问“结对关爱”帮扶联系户并调研工作。 慰问中,许伟民来到乌兰镇河靖村“结对关爱”帮...
64
外卖员公认最能跑的电动车竟然是这三款!你认同吗? 外卖员公认“最能跑”的两轮电动车有哪些?综合动力、载重能力、设计、续航及价格等多维度考量!今天,酷骑动力阿强就来跟...
128
提离职的6个最佳时间点 在职场混江湖,提离职也是很有技巧的事情,不能很草率地便提出了离职,提离职要在恰当的时间点进行,那么一般在什么时间点提离职好一点呢? 1、 某个项...
79
女航天员刘洋大校的丈夫首次次曝光,一表人才,工作也很体面 女性航天员在我国航天领域的重要性不言而喻。目前,已经参与飞天的女性航天员只有两位,而且都是有过两次飞天的经...
113
逆风起飞!看丁俊晖如何从6:3逆转霍金斯 朋友们!斯诺克英锦赛你们看了吗?今天的比赛可以说是精彩到无以复加! 丁俊晖以6-3的比分击败霍金斯晋级英锦赛16强! 关注过丁俊晖和霍金...
112
我国有多少个民族?是真的就是56个么? “五十六个民族,五十六朵花”这首创作于80年代的爱国歌曲传唱至今,我们更是从小就学习了我国有56个民族的知识,这种认知从接受之后,就...
88
末代皇后婉容悲惨一生:私生女出生当天被烧死,从高贵到惨死狱中 末代皇后婉容是清逊帝溥仪的妻子,1922年,16岁的婉容是贵族圈里有名的才女。那一年,婉容被选进宫,成为了中国...
58
每日延长开放1小时!“五一”假期青岛市博物馆最新开放时间来了 视频加载中... 杨雪 青岛报道 4月28日,青岛市博物馆发布公告,为更好地满足游客“五一”假期的参观需求,青岛市...
61
陆客不来,商机没了!他批:蔡当局小鼻子小眼睛,台湾苦难才开始 据台湾中时电子报报道,美妆通路商美华泰惊传关闭分店,堡狮龙服装公司也宣布在今年7月31日前关闭台湾全部51家...
153
怀念孟东波...
100
怀念孟东波 怀念孟东波 各位亲友,你知道吗?孟晚舟的妈妈叫孟军,孟军的父亲叫孟东波,是1938年加入中国共产党的老革命,曾在新四军张爱萍领导下在苏北开辟敌后抗日根据地;...
101
公厕隔板洞事件:隐私权与公共安全的微妙平衡 在我们的日常生活中,公共设施如公厕是我们无法避免的存在。然而,近日一起男子称上公厕发现隔板有洞,隔壁大爷隔洞偷窥、拍照的...
68
「2019-2020江苏卫视跨年演唱会」门票价格、时间 他们来了!听说今年的 江苏卫视跨年演唱会 超级重磅!顶流大咖及大牌明星齐聚现场,一场巅峰盛宴即将在2019年的最后一天打响!期待这场...
125
租婚车大概多少钱一天2024 婚车租车价格是多少 每个人都会迎来自己人生中非常重要的这个时刻,对于我们自己来说,结婚是我们人生中非常重要的一场仪式,那么大家在即将准备结婚...
103
詹森月季—会变色的花 在缤纷多彩的花卉世界里,詹森月季宛如一颗耀眼的明星,散发着独特而迷人的魅力。 詹森月季,它那丰富多变的色彩就足以让人陶醉。从娇嫩的粉色到艳丽的...
160
玉林师范学院艺术类2022年志愿填报关键信息 玉林师范学院艺术类2022年志愿填报关键信息 玉林师范学院(Yulin Normal University)位于中国优秀旅游城市、广西东南部的玉林市,是广西壮族...
65
王思聪第二次讽刺方媛,直言自己是外围女孩 不久前,郭富城的妻子方媛,也就是国王的妻子,登上了热门搜索榜。之所以上热搜榜,是因为王思聪。她在微信朋友圈里写了一篇文章,...