北京最高楼528m的中国尊大厦基础桩筏设计,超越台北101大厦
1工程概况
北京中央商务区核心区的标志性超高层建筑项目———中国尊大厦(建筑效果图见图1),工程场地位于北京市朝阳区东三环北京商务中心区(CBD)核心区Z15地块,东至金和东路,南至规划绿地,西至金和路,北至光华路。建筑面积约43.7万m2(地上约35万m2,地下约8.7万m2)。主要建筑功能为办公、观光和商业。
该塔楼地上108层,地下7层(局部设夹层),建筑高度528m,基础形式为桩筏基础。主塔楼结构体系由周边巨型柱+巨型斜撑框筒和中央核心筒组成,外框筒传力路径由边梁柱、转换桁架、巨型斜撑,并通过巨型柱传至基础。上部荷载(1.0×恒载+1.0×活载)分布:核心筒荷载为4018MN,巨柱荷载为3354MN,约占上部荷载的比例分别为55%,45%。

图1建筑效果图
设计之初,组建了由结构工程师与岩土工程师共同组成的地基基础设计团队,两者通力协作完成了桩筏基础设计优化,超高层主塔楼与裙房之间不再设置沉降后浇带,实现了桩筏设计的创新。
2地基土层构成
工程详细勘察阶段的钻孔最大深度达184m,钻至第三纪基岩层,完整地揭示了第四纪沉积层,其构成表现为9个沉积旋迴,每一沉积旋迴均呈现由粗粒土过渡为细粒土,典型地层构成为卵石(圆砾)层→砂层→粉土层/黏性土层。基础底面以下地基土层分布见图2。

图2地基土层分布
图2中概括为5个沉积旋迴,其中第层卵石、圆砾是本工程试验桩和最终选定的基桩桩端持力层,而第层中砂、细砂为设计过程中的备选桩端持力层。需要说明的是,粉质黏土(10<>P≤14)和重粉质黏土(14<>P≤17)按《北京地区建筑地基基础勘察设计规范》(DBJ11-501—2009)定名,若按《建筑地基基础设计规范》(GB50007—2011)则均应定名为粉质黏土(10<>P≤17)。
3试验桩数据分析
超高层建筑的建造中,地基基础工程已经成为影响工程总工期和总造价的重要因素之一,然而目前对其“基础方案的分析、比选与现场试验研究缺乏必要的经费和时间”。
与本工程场地相毗邻的CCTV新台址,曾为选择合理的桩端持力层,提高桩的利用效率,对两个可能的持力层作了比较,进行了两个不同持力层单桩承载力测试。
根据冶金工业工程质量监督总站检测中心完成的检测报告,CCTV新台址的试验桩桩长分别为53.40m(长桩)和33.40m(短桩),由于其中的长桩持力层为第层卵石、圆砾,因而需要认真加以分析。造成这一现象的原因是黏质粉土由于吸水崩解出现严重的塌孔,形成2m左右厚的沉渣,为此在详勘阶段专门进行了共12组湿化试验以测定崩解量。
基于现场的试验桩测试数据分析,对于超长钻孔灌注桩的荷载传递规律、荷载-沉降的性状、侧阻力变化特征以及后注浆工艺增强效果进行比较研究,以期为今后更好地把握后注浆超长钻孔灌注桩的工程性状(力学行为)提供可参考的依据。
3.1试验桩设计参数
由于本工程基坑为超深开挖,因此需要结合土方和支护施工进度,进行试验桩的施工和静载试验。前后两批试验桩设计参数:
1)第一批试验桩:桩径为1.0m,有效桩长约为42m,试验桩总长达62m;2)第二批试验桩:桩径为1.2m,有效桩长为44.6m,试验桩总长约为54.6m。其中第一批试验桩后压浆水泥浆采用P.O42.5水泥,水灰比为0.6~0.7,桩侧三道注浆管,每个注浆管压浆量为900kg,桩端注浆管压浆量为2200kg。
第一批试验桩、第二批试验桩作业的基坑底面标高距离设计桩顶标高分别为20m和10m,需要采取侧摩阻力的隔离措施,试验桩与地层配置关系示意如图3所示。
根据前期调研,为了消除无效桩长段侧阻力对试桩承载力的影响,北京国贸三期A阶段、上海中心大厦和天津高银117大厦的试验桩均采用双套筒的技术措施。
本工程的两批试验桩均采用了双套筒技术作为侧阻力隔离措施。试验桩在成桩后采用了桩端与桩侧组合后注浆工艺。

图3试验桩与地层配置关系示意图
3.2静载荷试验方法
北京国贸三期、CCTV新台址、上海中心大厦、天津高银117大厦的主塔楼试验桩均采用锚桩反力法。
温州鹿城广场塔楼(350m)的110m桩长的试桩静载荷试验采用的是桩梁式堆载支墩-反力架装置。天津滨海新区地区采用自平衡测试技术对90m桩长的超长钻孔灌注桩进行原位测试,滨海新区于家堡金融区则采用的是锚桩反力法。经过慎重比较,本工程最终选定锚桩反力法。.
3.3试验数据分析北京中国尊大厦、天津高银117大厦、上海中心大厦试验桩的最大试验荷载分别为40000,42000,30000kN。北京中国尊大厦与津沪超长桩Q-s曲线对比如图4所示。由图4可以看出,三地超长灌注桩试验桩Q-s曲线均为缓曲变形。京、津、沪的超高层建筑的试验桩桩顶沉降量恰好依次增大,分别为24.82,47.62,50.66mm。由图5所示的实测桩身轴力变化可以看出,双套筒较好地消除了无效桩长段的桩侧摩阻力。

图4北京中国尊与津沪超长桩Q-s曲线对比

图5桩身轴力实测

图6为桩侧阻力计算图。

图7桩侧黏性土层侧阻力变化
图7为桩侧黏性土层侧阻力变化情况,由图7可知,本工程试验桩桩侧的埋深相对较浅的黏性土层的侧阻力与文献中的CCTV新台址长短试桩的浅部黏性土层侧阻力变化规律不同。第⑦层以黏土为主,第⑨层则以粉质黏土为岩性,随试验压力增大,表现为先增强后软化的总体趋势。因此对于置于软硬交互土层的超长基桩的承载性状需要全面考量和深入研究。
通过对超长灌注桩的桩顶和桩端沉降的量测可知,桩端沉降量较小,其桩顶沉降量主要来自桩身的压缩变形量。虽然北京地区后注浆灌注桩取得了较为丰富的工程经验,采用后压浆工艺确实能有效提高钢筋混凝土灌注桩的承载能力,一般可在1.6~2倍左右,但是对于超长灌注桩尚需进一步研究。上海地区,为了判断后注浆工艺对于超长钻孔灌注桩承载力的增强效果,专门进行了对比分析,即在同一场地内进行了桩端桩侧联合后注浆与未进行后注浆的试验桩静载试验对比,后注浆效果非常显著。
天津地区于家堡金融区超高层建筑项目为了验证后注浆工艺的必要性,专门进行了单桩静载试验,Q-s曲线并非平缓曲线,而且均出现了陡降,经过分析比较,认为与沉渣过厚有关。因此对于超长桩,不可盲目套用既有桩端及桩侧后注浆参数经验值,应当针对土层性质、成桩工艺和成桩质量进行适当调整。
4桩筏基础设计
桩筏体系可理解为是地基土-桩-筏板相互作用的一个有机整体。本工程桩基础设计使用年限为50年,耐久性100年;建筑桩基设计等级甲级,安全等级为一级;主要抗震性能目标为桩身强度满足中震弹性和大震不屈服要求。工程桩主要包括三种类型:位于核心筒和巨型柱下P1型(桩径1200mm、桩长44.6m);塔楼下其他区域P2型(桩径1000mm、桩长40.1m);塔楼与纯地下室间过渡桩P3型(桩径1000mm、桩长26.1m,为边缘过渡桩),桩位布置见图8。

图8桩位布置

图9桩筏共同工作示意图

图10桩与筏板联合变调平设计概化示意图
工程桩P1和P2以第层卵石、圆砾为桩端持力层,要求进入持力层的深度不小于2.5m。纯地下室部分采用天然地基。所有工程桩均采用桩侧桩端组合后注浆工艺。
桩筏基础设计总体思路:考虑桩筏协同作用(图9),按变形控制条件合理选择桩端持力层,优化设计桩长、桩径和桩间距。桩基础结构设计计算应考虑上部结构、筏板基础和地基(桩与土)共同作用分析。
经过反复比选,最终将超高层主塔楼与裙房之间的沉降后浇带予以取消,实现了桩筏基础设计的创新。桩与筏板基础联合变调平设计的构想与技术思路如图10所示。数值分析得出的基底反力在主楼区域约为150kPa;上部结构传递到基础底面的平均压力值约1200kPa;桩间土承担的荷载约为总荷载的12.5%。
根据计算软件特点和设计需求,应用PLAXIS和ZSOIL数值分析软件进行沉降变形分析(荷载准永久组合工况);关于桩基础结构设计计算(地震与风组合工况),主要采用ETABS和ABAQUS等有限元分析软件对整体结构和桩筏基础进行协同计算分析。
采用ETABS软件进行协同分析时,整体模型包括上部结构和桩筏基础,其中桩基础采用输入基床系数模拟,基床系数初始值按岩土工程软件计算得到的单桩反力和变形推算,并通过迭代法不断调整不同区域的桩基基床系数,直到基床系数连续迭代取值在容许范围内,上部结构和桩筏基础内力和变形基本协调一致。
5桩筏协同作用分析与沉降分析
超高层建筑需要按沉降变形控制条件进行地基基础设计,而关键是如何正确分析判断总沉降量和差异沉降量。数值分析将发挥越来越有力的作用,已成为不可或缺的设计依据。应用土与结构相互作用原理,将主塔楼与其相邻裙房作为一个整体进行研究与分析,遵循差异沉降控制与协调的设计准则,设计过程中桩筏协同作用的三维数值分析与桩基础设计密切结合。为此设计团队应用PLAXIS和ZSOIL数值分析软件进行了地基土-桩-筏板-地下结构协同作用的计算分析。桩土-筏板-基础结构协同作用的数值分析详细论述另见文献。图11,12分别是桩筏基础的二维参考面和三维计算模型。数值分析的准确度往往取决于计算参数的正确和合理性。

图11计算模型二维参考面

图12桩筏基础三维模型
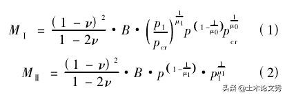
为了能更准确地预估桩筏沉降变形量,采用了北京院已有的非线性地基模量MⅠ,MⅡ(亦可称为地基土的应力-应变模量)研究成果,可通过下列公式计算分别得出,并应结合应力-应变阶段、应力水平、荷载条件、土的应力历史及时间效应等因素综合判断确定地基模量取值。

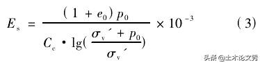
式中:Pcr为平板载荷试验lgp-lgs曲线的折点压力,kPa;μ0,μ1分别为平板载荷试验lgp-lgs曲线的折点前、折点后的曲线斜率;p1为标准宽度基础底面的附加压力,kPa;p为附加压力,kPa;B为载荷板宽度或直径,m;ν为土的泊松比。地基模量有着不同的概念及表达方式,压缩模量亦可看成为其中之一,以卵石层(充填砂)的压缩模量为例加以进一步阐述。根据研究成果以及北京地区工程经验,建立了卵石层压缩模量的计算公式:

式中:Es为土的压缩模量,MPa;e0为有效覆盖压力为零时的孔隙比,取0.4~0.5;Cc为压缩指数,取0.01~0.02;σv'为有效覆盖压力,kPa。由式(3)可知,压缩模量不仅取决于卵石层密实度,而且与其所处深度处的有效覆盖应力相关,因而对于不同埋深的卵石层,附加压力相同时(p0=100kPa)其影响程度是不同的。岩土工程勘察报告给出本地块的土层物理参数见表1。通过旁压试验研究黏性土、粉土层的压缩模量取值,可以作为今后的研究课题。
表1土层物理力学参数

本工程桩基础设计过程中所完成的对比与优化包括:
1)三角形布桩、正方形布桩的比较;
2)桩长的比选,即持力层第瑏瑢层与第瑏瑤层的比较;
3)桩径1.0m与1.2m的比较;
4)桩间距3d(桩径d为1.0m时)与2.5d(桩径d为1.2m时)的比较;
5)设抗浮桩与不设抗浮桩对于差异沉降影响的比较;
6)多工况组合的比较分析;
7)在调整桩的设计参数的同时,分析比较筏板厚度的调整对于差异沉降协调的影响。
国际知名学者HappYGPOULOS通过中东地区的3个超高层工程实例(EmiratesTwinTowers,BurjDubai,NakheelTallTower),从地基土性状、基础设计(基础选型、筏板厚度、桩基设计)、理论分析方法、单桩静载荷试验、建筑物沉降观测等诸多方面对中东地区超高层建筑的地基基础设计要点进行了阐述,对于超高层建筑的变形控制指标,给出如下限值:
1)沉降:100mm;
2)倾斜值:1/5001~1/1000(H>100m)。
由于超高层建筑地基基础设计牵涉到的因素很多,岩土工程师与结构工程师需加强合作,同时需通过大量的工程实践和原位测试分析总结来提高超高层建筑地基基础的设计能力和精确性。
本工程通过数值分析,确认主塔楼筏板挠度、主裙楼之间的差异沉降量均满足《建筑地基基础设计规范》(GB50007—2011)的要求,而且总沉降量小于100mm。
6工程桩承载力检验数据分析
全部工程基桩施工完成以后,通过单桩静载荷试验进行了工程桩承载力检验,其Q-s曲线如图13所示。检测结果表明桩基施工质量良好,100%为Ⅰ类桩,为实现设计构想奠定了坚实的基础。目前已完成全部筏板混凝土浇筑施工,随着工程进展,监测数据以及工程反分析将后续另文撰写。

图13工程桩Q-s曲线
7结论及建议
(1)超高层建筑桩筏基础设计应遵循差异变形协调及控制的准则,其关键问题是沉降变形的准确预估与正确判断。数值分析将发挥越来越有力的作用,也已成为不可或缺的设计依据。
(2)本工程桩筏基础设计过程中,应用土与结构相互作用原理,将主塔楼与其相邻裙房作为一个整体进行研究与分析,遵循差异沉降控制与协调的设计准则,考虑桩筏协同作用按变形控制条件合理选择桩端持力层,优化设计桩长、桩径和桩间距,桩基础结构设计计算考虑上部结构、筏板基础和地基(桩与土)共同作用分析。设计过程中桩筏协同作用的三维数值分析与桩基础设计密切结合。
(3)北京第四纪地基土层构成可以概括为卵石(圆砾)层→砂层→粉土层/黏性土层若干旋迴沉积层,置于软硬交互土层的超长基桩的承载性状需要全面考量。
(4)试验桩测试数据是重要的设计依据之一,通过试验桩载荷试验能正确把握超长钻孔灌注桩的荷载传递规律、荷载-沉降的工程性状、侧阻力变化特征,希望建设单位和设计单位给予更多的重视。基础工程设计过程中还应加强对试桩方案的策划及试验数据的分析。
(5)根据研究,超长桩的桩顶沉降量主要来源于桩身压缩变形量,需要通过增加桩身配筋及提高桩身混凝土强度等措施减少桩顶沉降变形量。
(6)设计过程中,岩土工程师与结构工程师的团队协作完成了桩筏协同作用计算与桩基础结构设计密切结合,是实现地基基础设计创新的保证。
