三种方法推导 圆的面积公式 - 微积分应用
本文通过3种方法推导出圆的面积公式。
其中2种用到了微积分

第一种:几何切割法(微分思想)
1)过圆心将圆无限切割成上下2块锯齿状图形

2)将2块锯齿状图形合并成一个长方形



3)圆面积=长方形面积

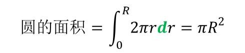
第二种:圆环分割微积分法(参考3blue1brown视频)
1)将半径为R的圆切割成很多厚度为dr的圆环

圆环
2)任取一圆环分析。
假设从大圆圆心到圆环长度为r,
当dr趋近于0时,将圆环展开后的图形近似为一个长方形。
如下图:

任取一圆环分析
3)将所有的圆环展开,得到类似下图:


利用积分形式同样可得到:

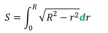
第三种:切片分割微积分法
1)将圆无限分割成厚度为dr的薄片

2)分析其中任意一张薄片AB(位于 4分之1圆 内):

假设 圆的半径为 R,圆心到薄片的距离为r,薄片的厚度为dr,角度为θ
则薄片的面积:


等价于积分形式:

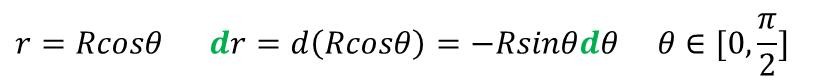
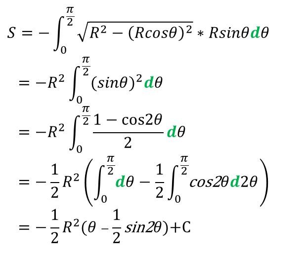
这种积分形式比较难以求解,采用换元法求解:

代入上式:



得到圆的面积:

本文原创,未经允许,请勿复制转载。
标签:
90
奇书一本《梦林玄解》 《梦林玄解》是一本关于梦占的类书,它在中国古代梦文化研究中占有重要地位。以下是对《梦林玄解》的详细介绍: 成书时间:据传,《梦林玄解》最初由晋...
188
恐龙世界(6)空中滑翔,小盗龙 小盗龙 小盗龙 (属名:Microraptor)意为「小型盗贼」,是一种在中国辽宁省九佛堂组发现的小型驰龙科恐龙,生存于白垩纪早期巴列姆阶,即约1亿30...
133
贾菊兰,拟任新职 山西省运城市委组织部11月26日发布干部任前公示,其中,现任山西省蒲剧艺术院(运城市文化艺术学校)党委副书记、副院(校)长、市文学艺术界联合会兼职副主...
179
二十年磨一剑 南昌新中原大剧院成为赣文化展示名片 4月28日,南昌新中原大剧院走过了20年的发展历程,成长为江西省文化产业重点企业,成为江西文化演艺的一张名片,“赣文化”对...
122
福岛正则为何成了战国时代公认的“傻瓜”和吃里扒外 当然我们必须肯定的是福岛正则本身的确有一定军事才能,他在贱岳之战中立下头功, 而且由于和丰臣秀吉是亲戚,从小便被秀...
115
凤凰涅槃的传说 从前,在中国的大地上,有一个 神秘的传说,关于一只名为凤的神鸟。凤有着五彩斑斓的羽毛,闪耀着金光。它象征着吉祥、幸福和美好,为百姓带来无尽的祝福。然...
114
八一建军节将至,一组高燃海报致敬中国军人 迷彩戎装,英姿飒爽 中国人民解放军 建军95周年来临之际 我特意制作了一组海报图 致敬中国军人! 热血青春,保家卫国 他们携笔从戎...
159
2019年贵州高考分数线划定!一本:理工类470分,文史类542分 公布了!! 2019年贵州高考分数线公布! 6月24日,贵州省招生委员会召开全体委员会议,讨论并审定了贵州省2019年普通高校...
64
4张色盲色弱检测图,有3张很难识别出来,有1张特别简单 今天有粉丝问我:色弱到底是啥? 其实简单的一句话就能概括清楚,就是辨别色觉的能力下降,这个就是色弱。 这么一说是不...
136
怎么查自己名下有几个手机号? 在数字化时代,手机号码不仅是日常沟通的重要工具,还关联着各种互联网服务和金融业务。因此,了解自己名下注册了多少个手机号码变得尤为重要。...
91
世界建筑瑰宝——卡塔尔伊斯兰艺术博物馆 卡塔尔伊斯兰艺术博物馆是用白色石灰石叠加成几何状的伊斯兰风格建筑,外形酷似穆斯林美女,披着面纱只露二只眼睛。夜幕之中的博物馆...
55
盘点10部高质量催泪动漫,哪部是你的意难平呢 一起补番欢迎关注 大家好,我是达芬动漫,动漫是许多人的情感寄托,催泪动漫更是触动了无数人的心弦。今天为大家介绍一些评分较高...
141
解读菠萝蜜中的贵族:“红肉菠萝蜜” 全球水果种类繁多,不同的水果有不同的口感,也有不同的营养。崇尚养生的国人则更看重水果的营养价值和它所带来的效果,还特地按照水果的...
70
2007春晚“黑色三分钟”堪称连环撞,谁第一个失误?主持搞笑连连 也许你不记得2007年春晚都有什么精彩节目,那一年春晚报时有个“黑色三分钟”,你一定恍然大悟,哦,是那一年啊...
157
最新 | “五一”期间,天津一批新景区开放! 今年“五一”期间 天津多处新景区 将正式对外开放! 市政府办公厅、市网信办与海河传媒中心合作推出《公仆走进直播间》特别策划“向...
153
中国超级工程——秦岭终南山公路隧道,总投资286亿元 小编今天给大家介绍一个中国超级工程,秦岭终南山公路隧道,他是陕西省境内一条连接西安市与商洛市的穿山通道,位于秦岭终...
170
战国七雄君主世系——赵国篇 战国七雄,是战国时期七个最强大的诸侯国的统称,经过春秋时期数百年的争霸战争,周天子册封的诸侯国数量大大减少。周天子名义上是天下共主,但早...
140
上车!成都西站首趟列车出发啦!现场情况,票价,时刻表,在哪买票,你关心的 都在这里了! 12月28日早上7:29, C6651次 列车载着满满的乘客 从 成都西站 1站台缓缓驶出,将于8:59抵达...
115
全球玩具巨头乐高官宣多项重磅合作及发展计划! 引言 近日,乐高官方发布多则消息,透露了未来的重要方向。其中包括 宣布和耐克建立为期多年的合作伙伴关系 ;计划于2027年开设...
133
巨洞中发现35亿吨石油?超越7年进口量?为何无人敢开采? 同等于我国7年的进口量。这个消息无疑是一颗巨大的震撼弹,将所有石油开采公司瞬间从椅子上掉了下来。然而,令人意外...