三种方法推导 圆的面积公式 - 微积分应用
本文通过3种方法推导出圆的面积公式。
其中2种用到了微积分

第一种:几何切割法(微分思想)
1)过圆心将圆无限切割成上下2块锯齿状图形

2)将2块锯齿状图形合并成一个长方形



3)圆面积=长方形面积

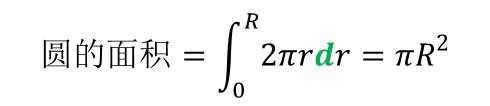
第二种:圆环分割微积分法(参考3blue1brown视频)
1)将半径为R的圆切割成很多厚度为dr的圆环

圆环
2)任取一圆环分析。
假设从大圆圆心到圆环长度为r,
当dr趋近于0时,将圆环展开后的图形近似为一个长方形。
如下图:

任取一圆环分析
3)将所有的圆环展开,得到类似下图:


利用积分形式同样可得到:

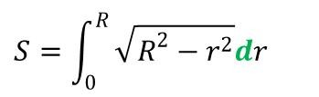
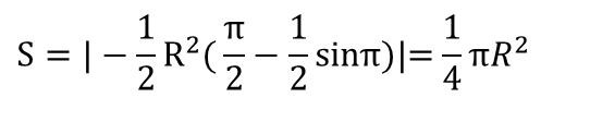
第三种:切片分割微积分法
1)将圆无限分割成厚度为dr的薄片

2)分析其中任意一张薄片AB(位于 4分之1圆 内):

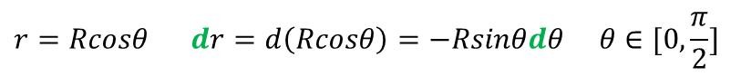
假设 圆的半径为 R,圆心到薄片的距离为r,薄片的厚度为dr,角度为θ
则薄片的面积:


等价于积分形式:

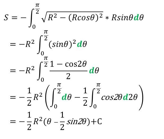
这种积分形式比较难以求解,采用换元法求解:

代入上式:



得到圆的面积:

本文原创,未经允许,请勿复制转载。
标签:
71
唱功比王菲还强的那英,却输在了人品上? 那英的真心情 ,是圈内人嗤之以鼻的, 她的恩师谷建芬曾说过她:长得好嗓子,配了个狗脑子。真实的那英就是一个豪爽热情,从不拐弯抹...
76
谈恋爱吗?坐牢的那种!揭密叔圈顶流塌房全过程 从“地下情人”到“复仇女神”:陈昱霖与吴秀波的七年纠葛,撕开了娱乐圈最肮脏的遮羞布 图片来自网络 “谈恋爱吗?要坐牢的那...
72
真人讲鬼故事(农村大人吓唬小孩的鬼故事) 农村的鬼故事有时候比小说中写得还精彩,其中一定有夸大其词得成分,那也许是大人吓唬我们得地方,下面来说几个农村大人吓唬孩子的...
132
我兄弟的女朋友 《我兄弟的女朋友》 一、介绍 我兄弟的女朋友是一个可爱的女孩,她叫小玲,来自一个家庭,她有一个爸爸妈妈和一个弟弟。她有一头乌黑的秀发,细长的眼睛,白...
58
情人节送什么礼物给女朋友,这些礼品都很靠谱 浪漫的情人节,是一个让男人们向往又抗拒的节日,向往的是这一天可以与自己的女朋友一起度过浪漫的一天,感受爱情的甜蜜,但是抗...
144
女孩结婚送什么礼物好,安利一波最贴心的 自己的好朋友好姐妹要结婚了,这样的喜事肯定是要送礼物的,但是这又不是平时过生日过节什么的,送礼物可以随便一点,毕竟是结婚,礼...
91
钮忹人(钮忹人下载在线) 本篇文章给大家谈谈钮忹人,以及钮忹人下载在线对应的知识点,希望对各位有所帮助,不要忘了收藏本站喔。 华/为vp9630 1、华为VP9630内置GK/WEB,可独立组...
134
南昌算不算四大火炉,南昌四大火炉叫什么名字 夏天来了,酷暑高温。今天给南昌人普及一个常识。什么是四大火炉?四大火炉是指中国天气炎热程度最严重的四个城市,是对夏季天气...
62
结婚新房布置图片大全 图片上看到的婚房布置都是又美又高大上,但自己布置起来总是土俗丑,拉低婚礼档次。下面我们就一起来欣赏一下婚房布置的图片,从中学习一下婚房布置的小...
161
怎样快速提升QQ等级(qq等级秒升皇冠) 怎样快速提升QQ等级1 可以让qq一直在线,用qq在线时长来提升qq等级,除了按在线时长累积基础活跃天之外,还可通过活跃行为获得追加的基础活跃...
169
萍水相逢歌词(萍水相逢歌词是什么) 歌词:【周】人与人的相遇 如此扑朔又迷离,接下来我们就来聊聊关于萍水相逢歌词?以下内容大家不妨参考一二希望能帮到您! 萍水相逢歌词 歌...
68
默认网关的作用是什么(默认网关怎么设置) 电脑联网,通常是内部网络,上网需要设置网关,网关实现网络互连。网关地址需要向网络管理员咨询,或者查看同一网络内其它电脑的设置...
95
姐姐结婚送什么礼物好,这些靠谱的都可以 姐姐要结婚了,作为从小一起长大的小伙伴,肯定是要送点礼物的,而且因为是结婚,所以送的礼物肯定不能够差了,而且还要能够表达出自...
132
河蚌吃什么怎么家养(河蚌在家怎么喂养) 河蚌,也叫河歪、歪儿、河蛤蜊,主要生活在淡水湖泊,池沼,河流等水底。河蚌的肉可食用,也可作饵料和饲料。大家对于河蚌比较熟悉的...
175
超清精美电脑壁纸(70多万张高清电脑壁纸任你选) 不少小伙伴每天都要面对着电脑学习或者工作,而我们看电脑最多的可能就是桌面壁纸了。但看一张图时间长了难免会有觉得有些枯...
147
祝福结婚的话语(简短新婚贺语) 爱,很简单, 我说话的时候,你在听; 我任性的时候,你在宠; 我伤心的时候,你在疼; 我开心的时候,你在笑; 不远不近,就在我身旁, 无论何时,何地...
63
充电口没有水 提示我有液体(充电口没有水 提示我有液体能用吹风机吹吗) 大家好,近期很多朋友对于 充电口没有水 提示我有液体 产不是很理解。然后还有一些网友想弄清楚充电口...
130
新疆车牌排序 车牌号是标识车辆身份的号牌,车牌号对车的意义就像身份证号对人一样。 车牌省市简称“省简称A·数字字母”组成。一些省按经济体量分配车牌,如粤代表广东省,粤...
51
天空飘来五个字那都不是事下一句是什么(你听过吗) 下一句是:那都不是事儿《倍儿爽》,我来为大家讲解一下关于天空飘来五个字那都不是事下一句是什么?跟着小编一起来看一看...
161
四大古建筑是哪四个 我国四大古建筑群为:避暑山庄(河北省承德市),曲阜三孔(山东曲阜)、故宫(北京)、岱庙(山东泰安),四大古建筑群均已列入世界文化遗产名录,同时也...