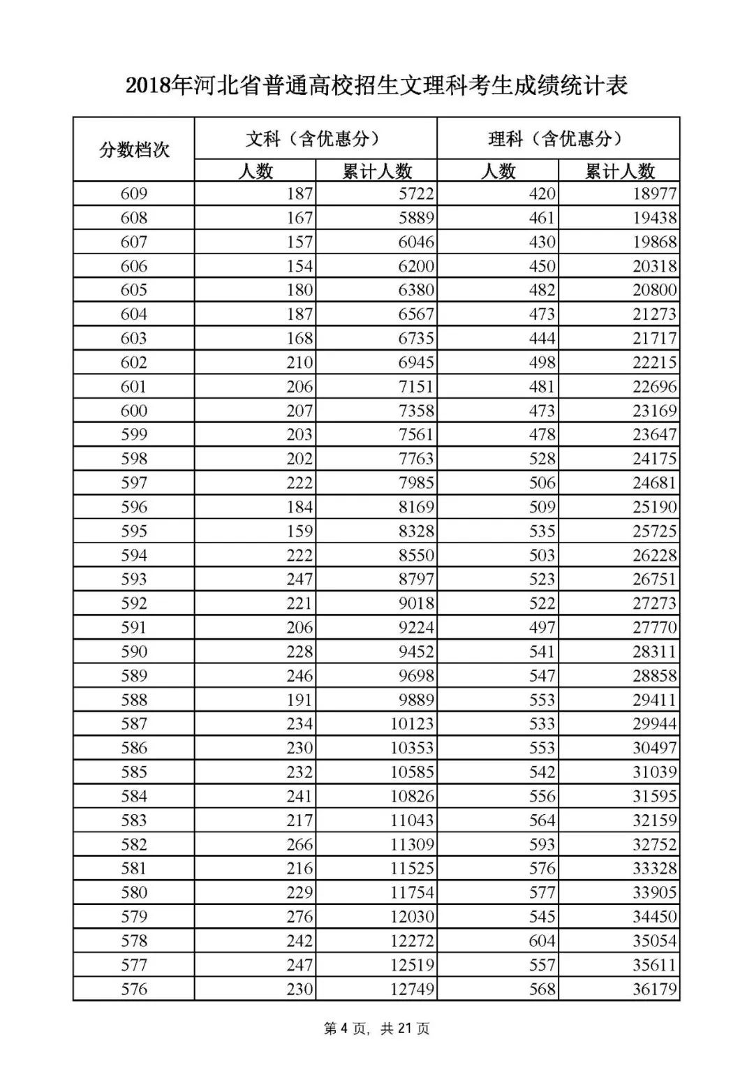
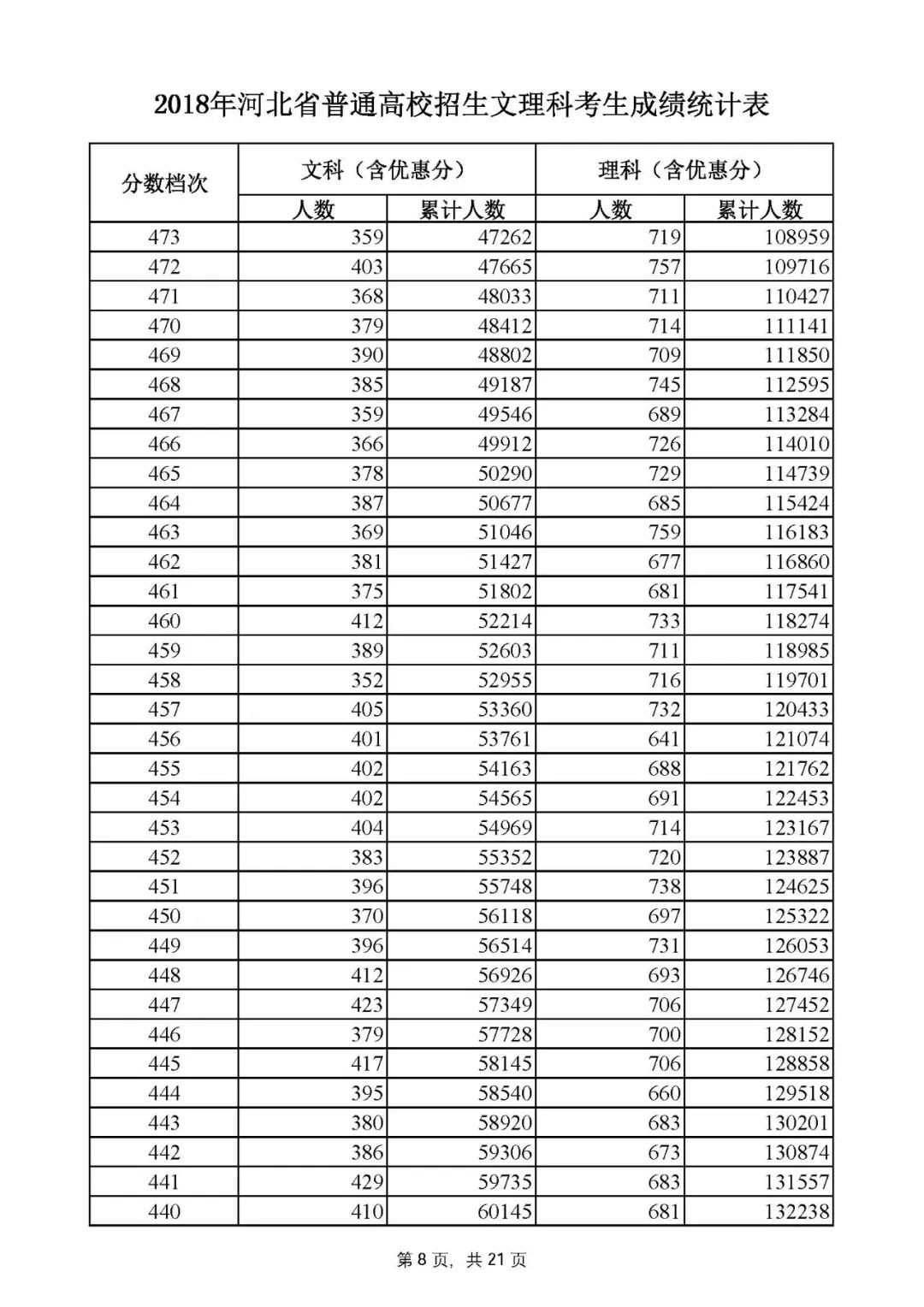
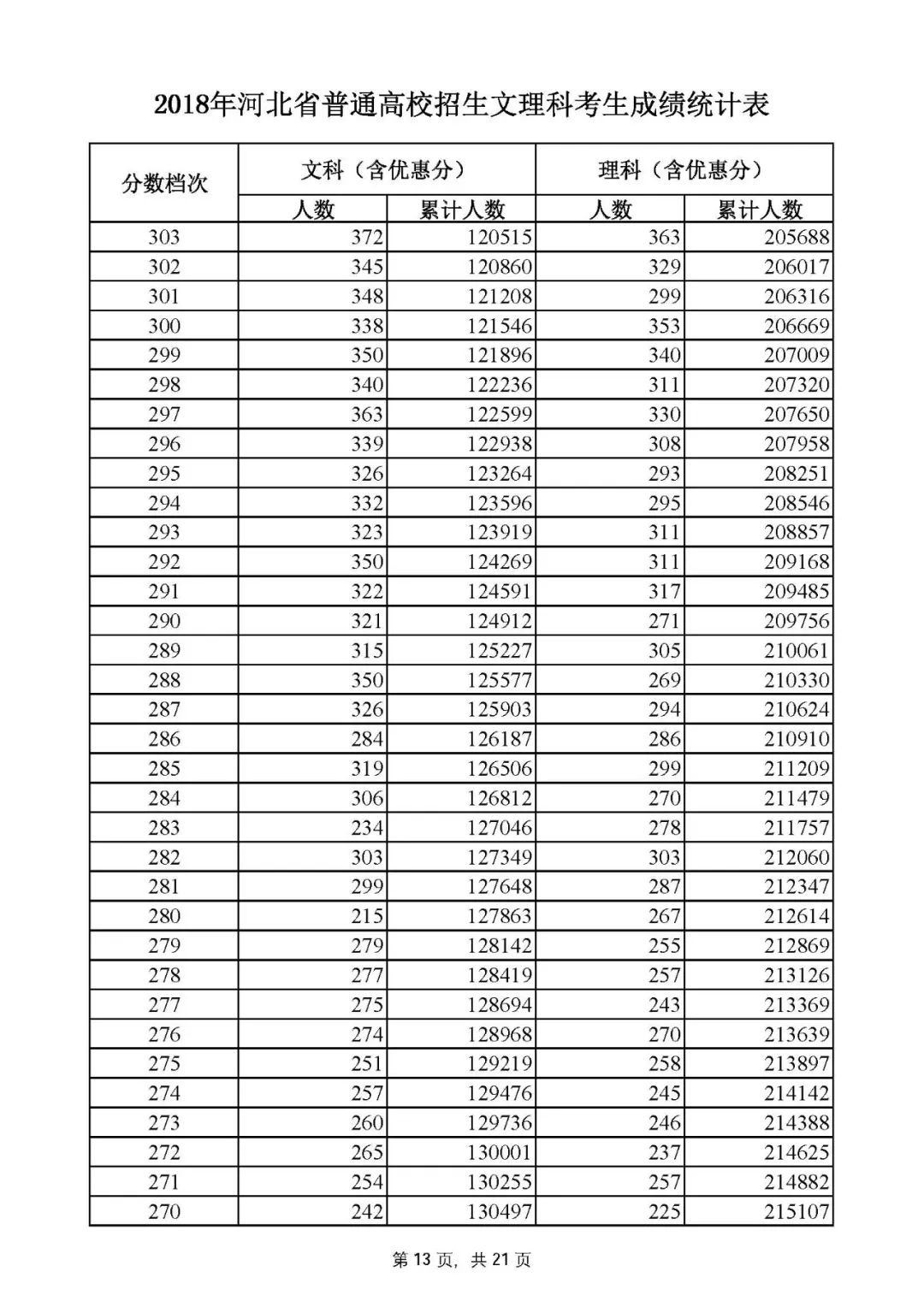
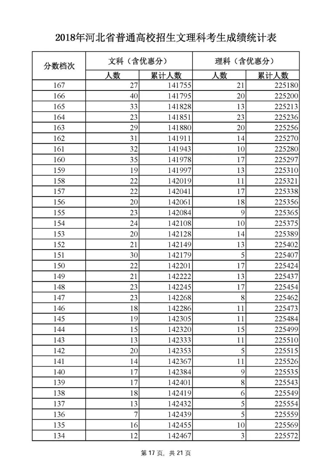
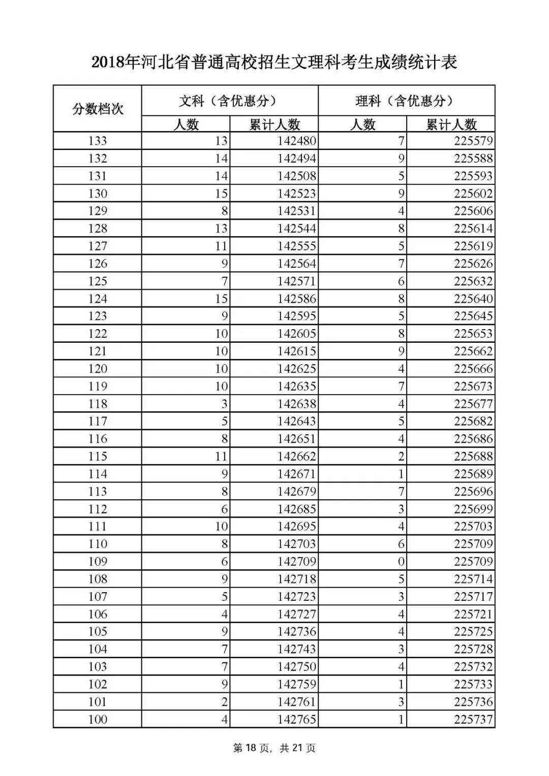
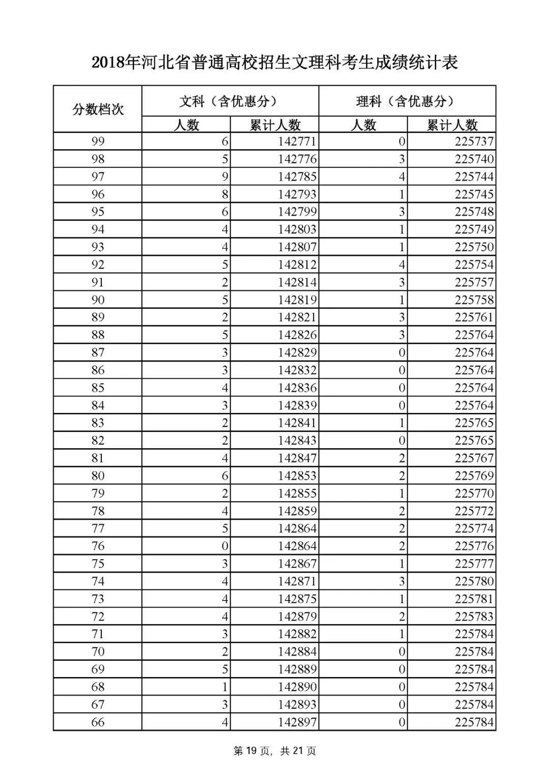
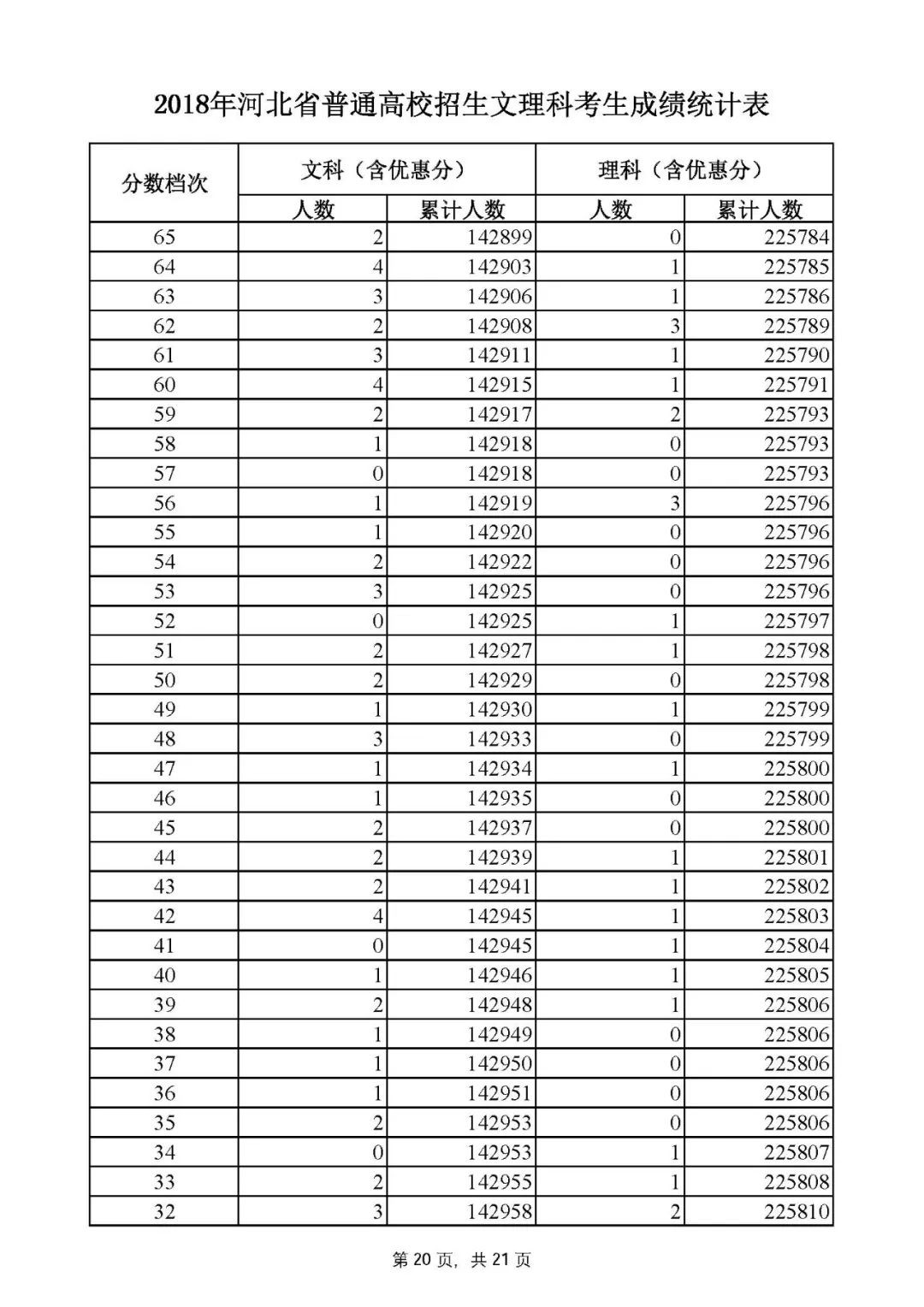
河北考生,2018河北高考一分一档表出炉!快收藏

23日0点,河北高考成绩可以查询了!相信考生现在都已经知道自己的分数了!全省考生们考的如何?一分一档表新鲜出炉!快来看看吧 !
2018年河北普通高校招生文理科
一分一档表
(点击看大图更清楚哦)





















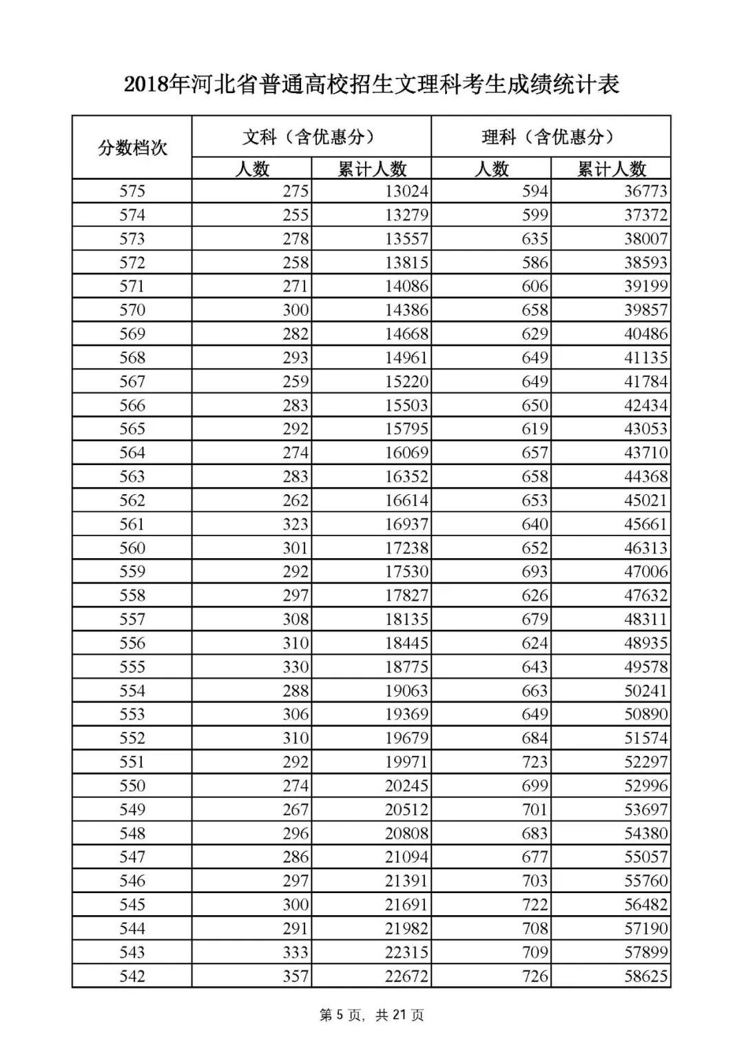
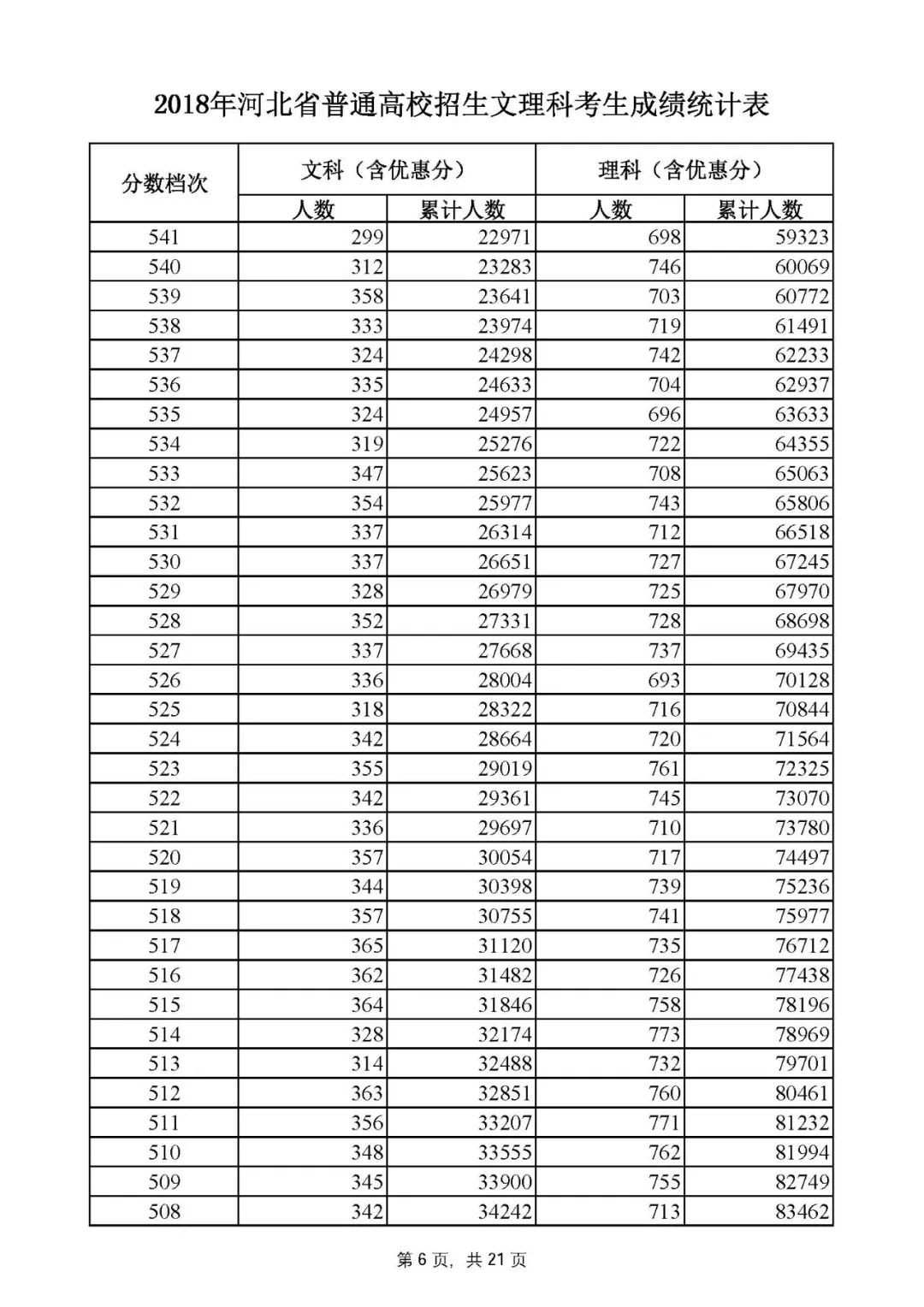
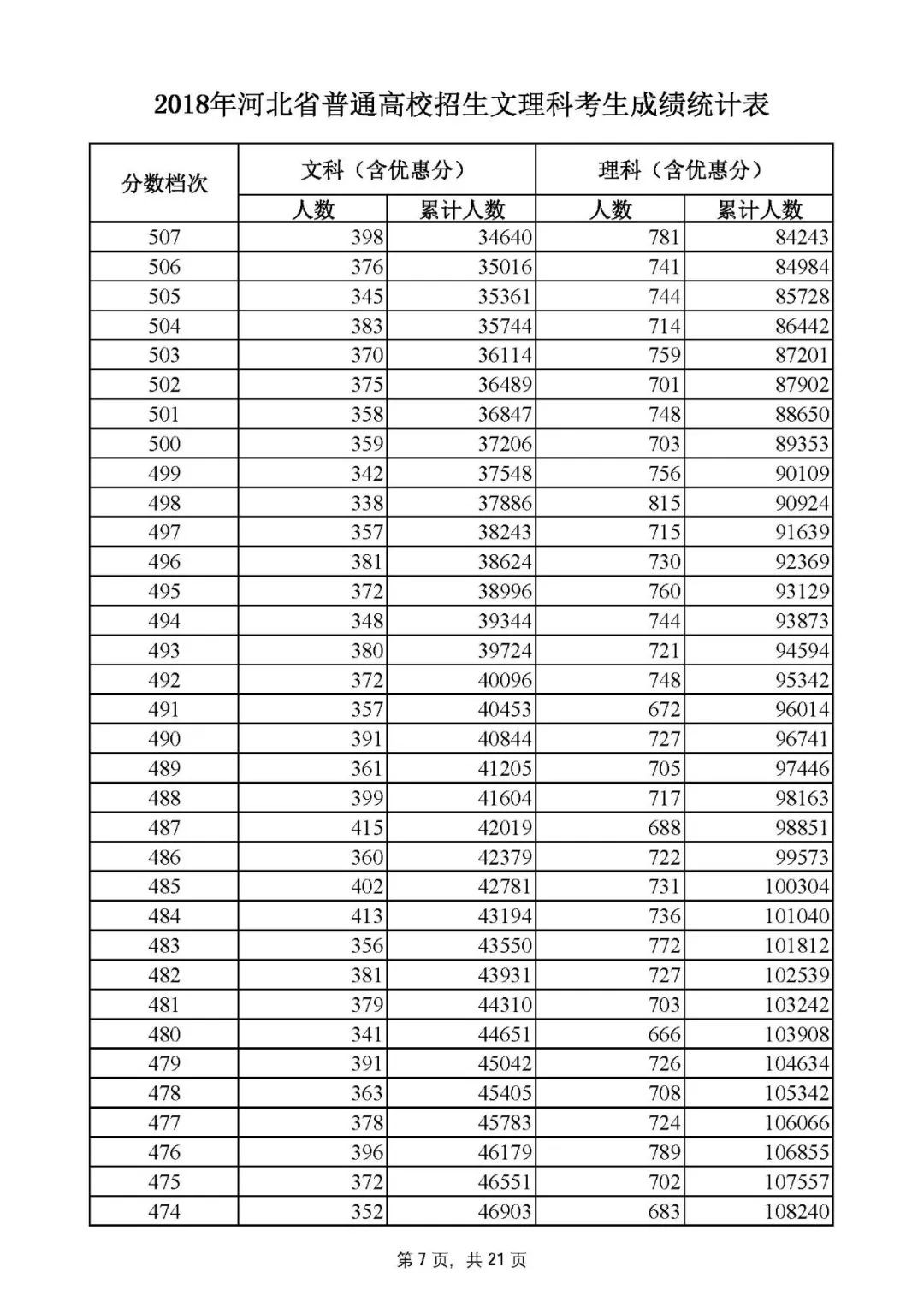
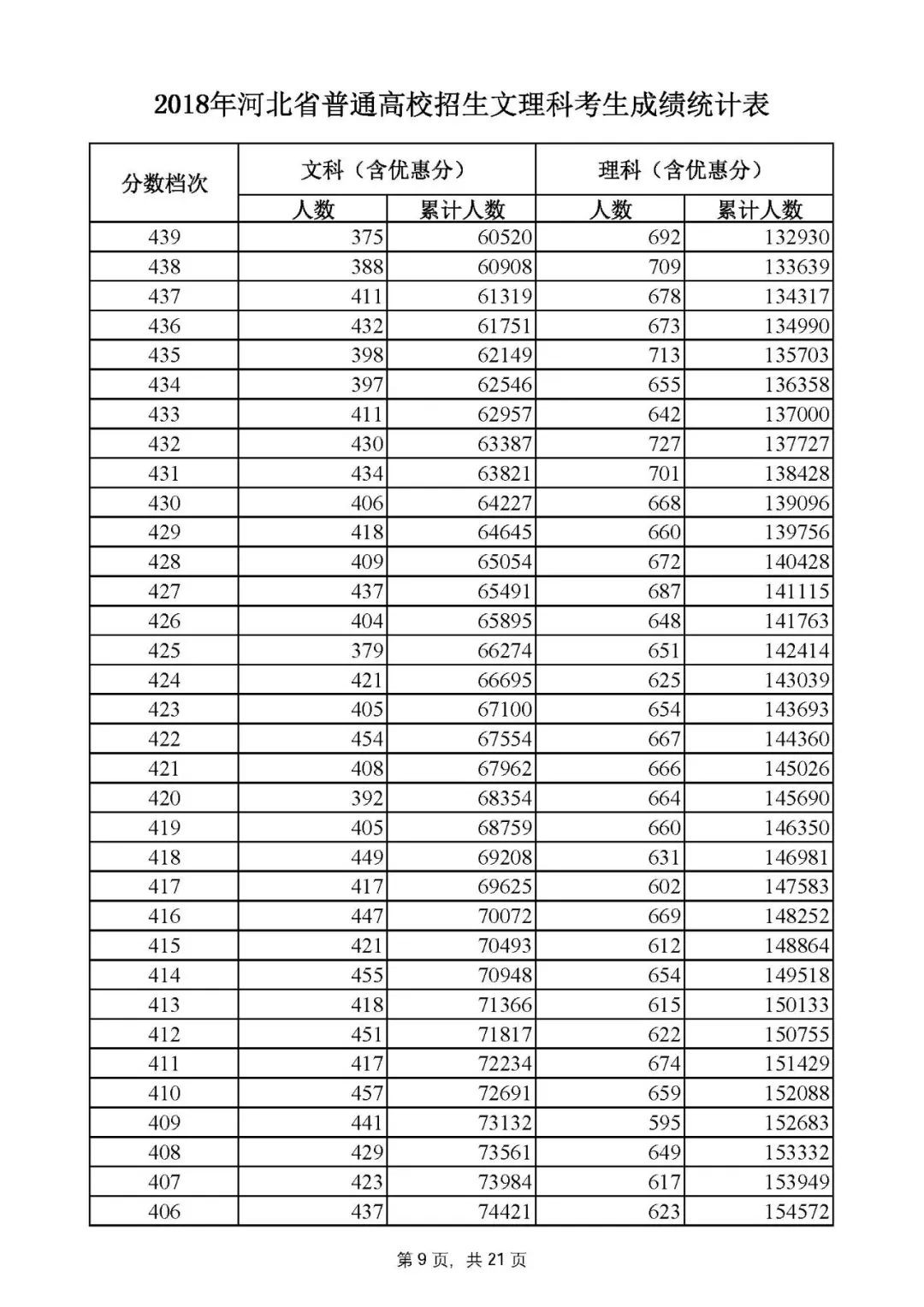
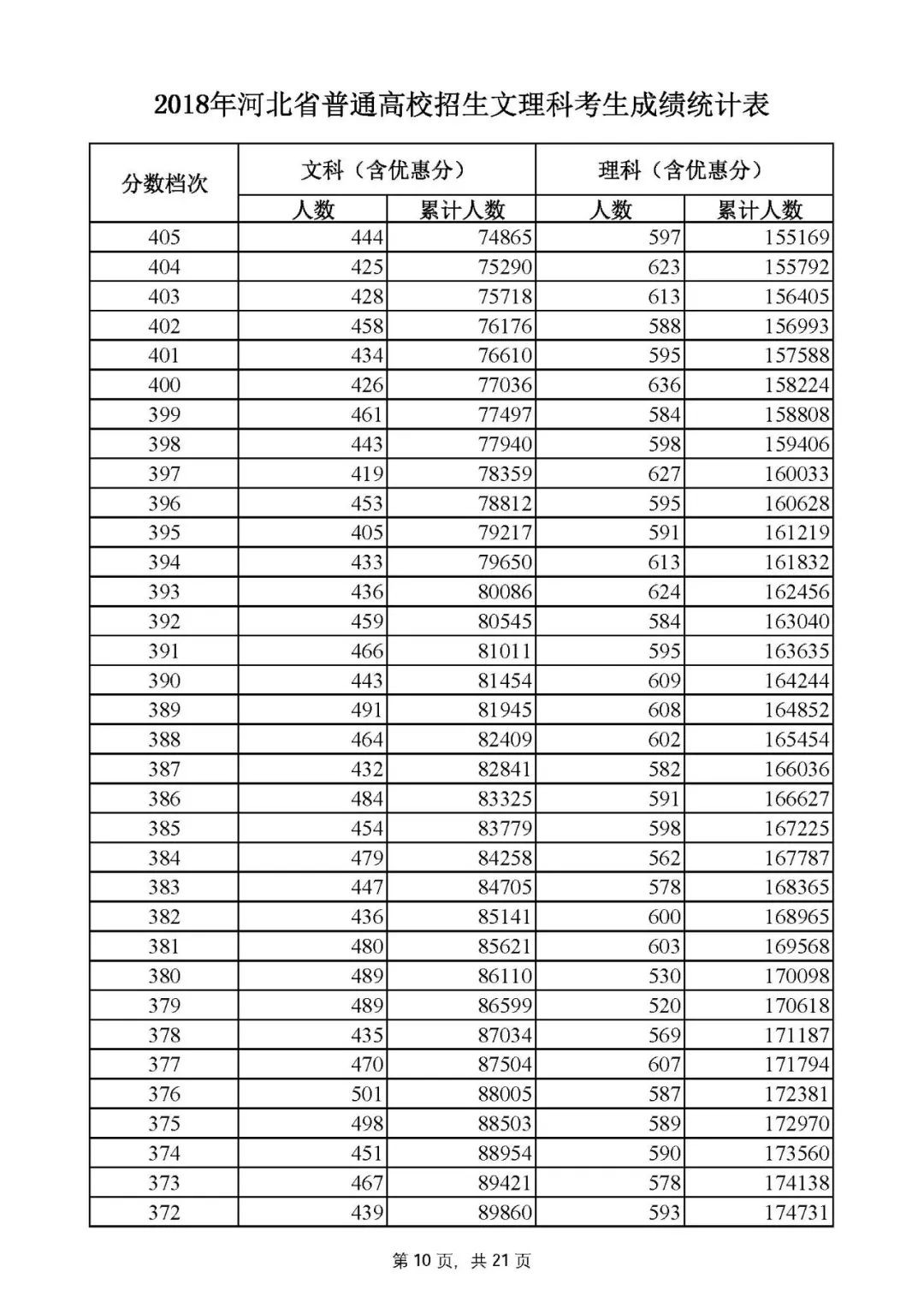
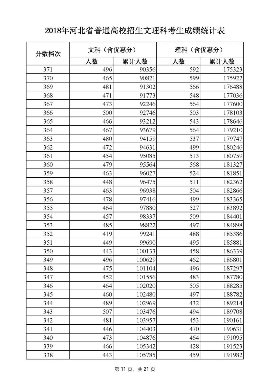
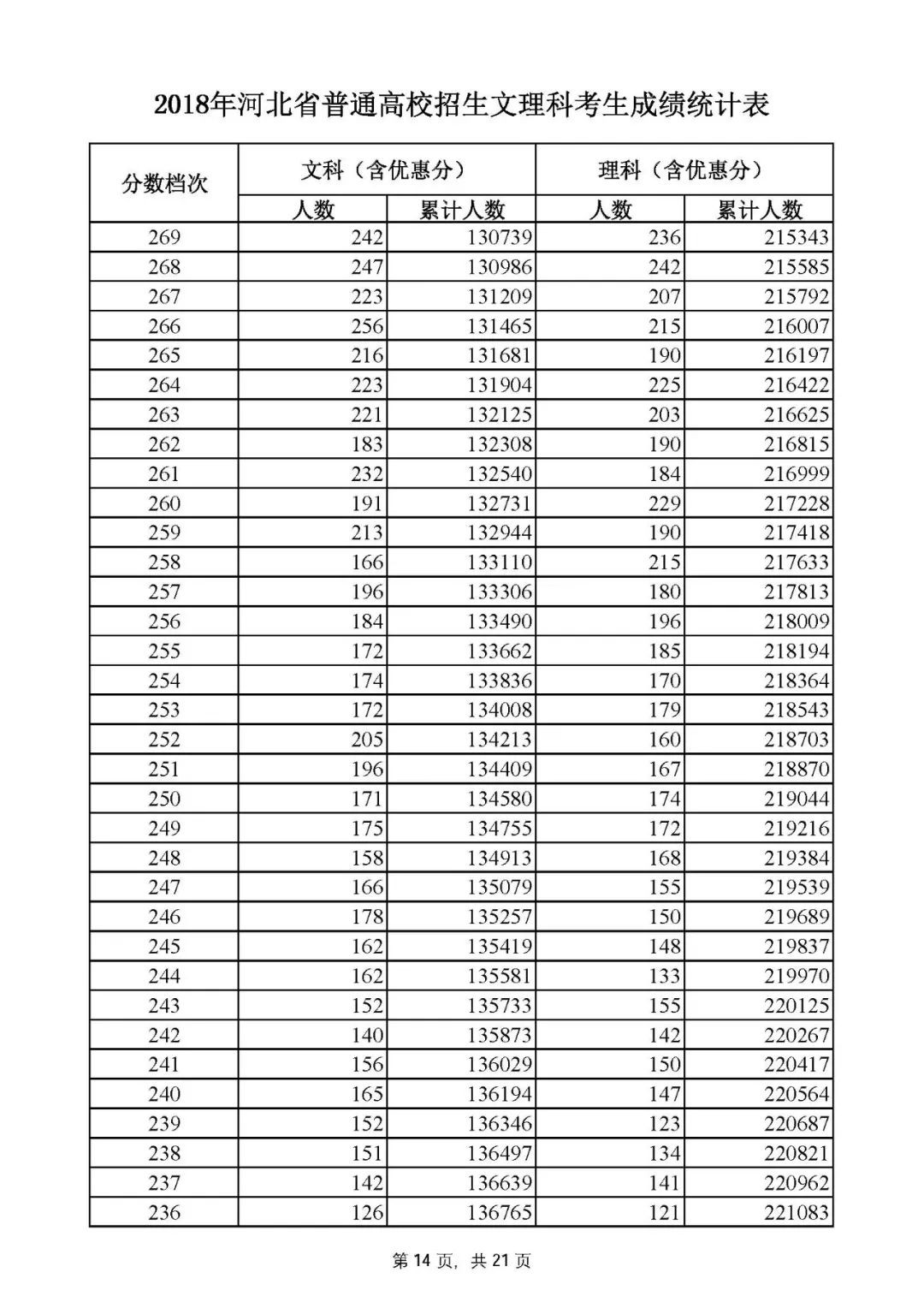
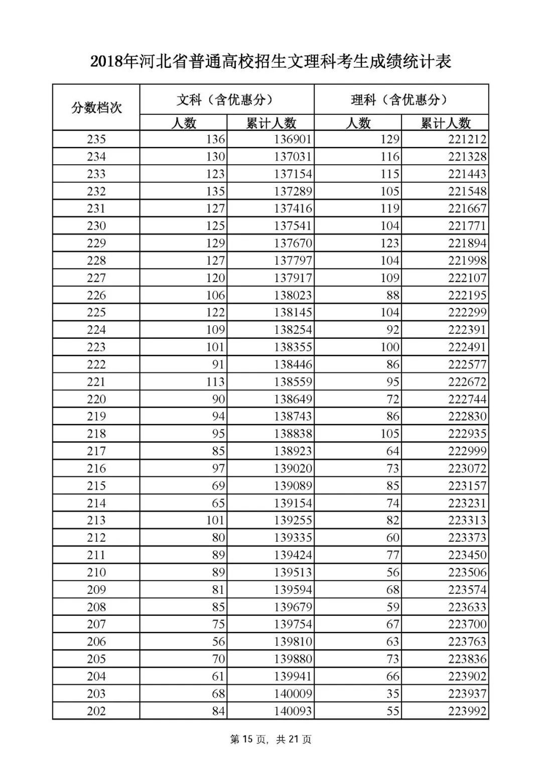
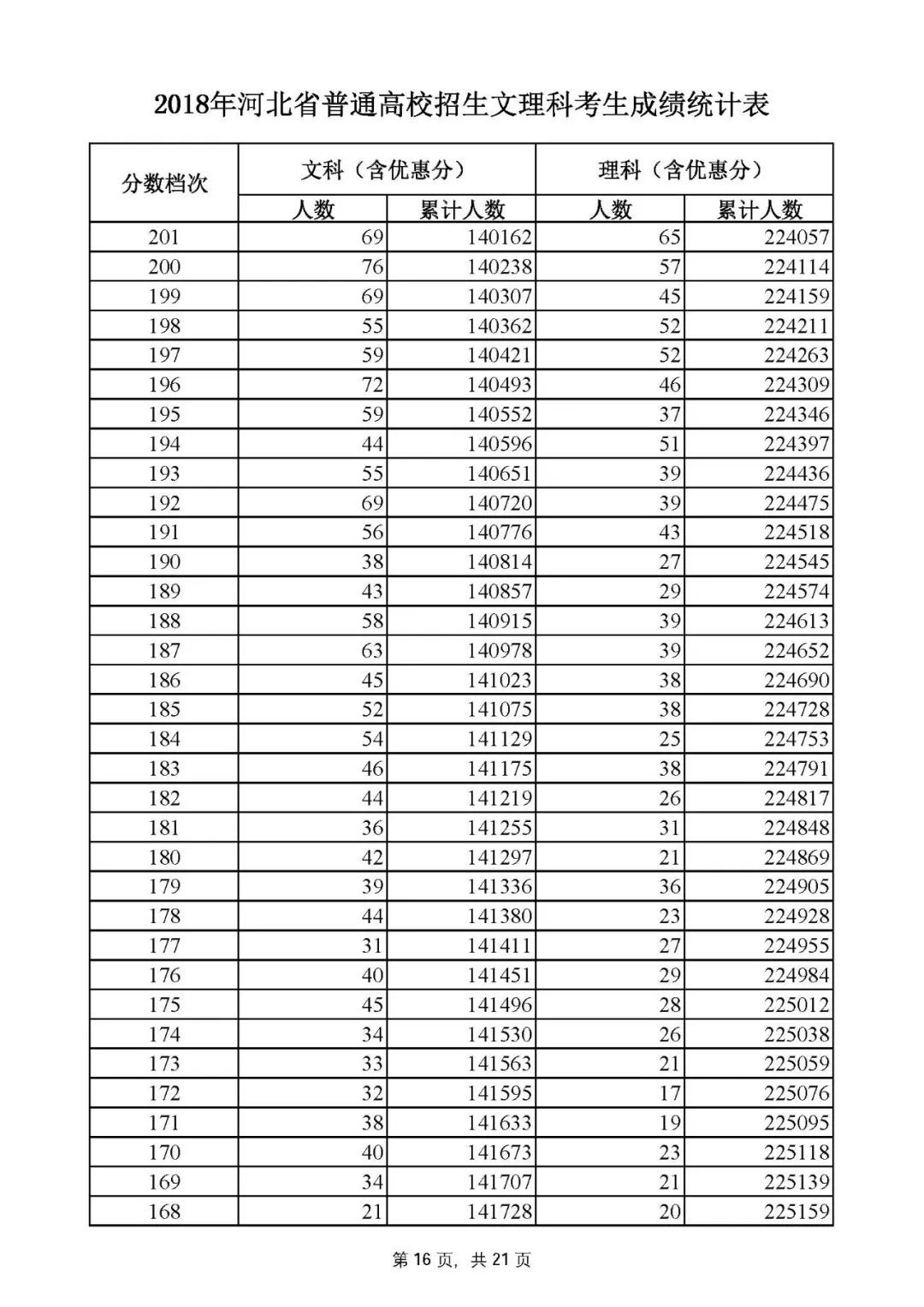
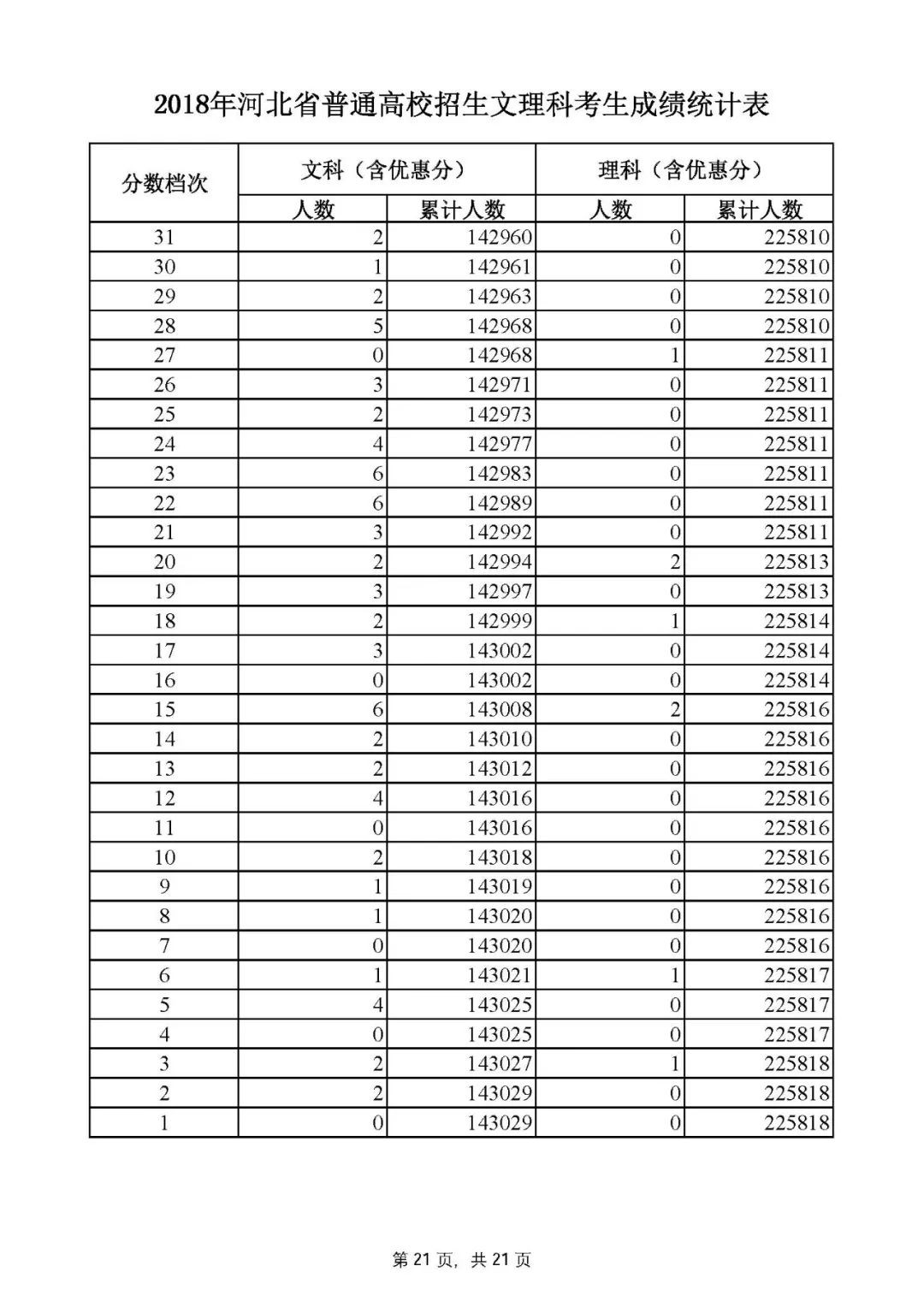
河北考生,2018河北高考一分一档表出炉!快收藏

23日0点,河北高考成绩可以查询了!相信考生现在都已经知道自己的分数了!全省考生们考的如何?一分一档表新鲜出炉!快来看看吧 !
2018年河北普通高校招生文理科
一分一档表
(点击看大图更清楚哦)





















罕见!在西藏墨脱县首次发现国家二级重点保护动物鸳鸯 本文转自【西藏发布】; 近日,西藏自治区林业规划设计研究院工程师王渊和中国科学院墨脱地球景观与地球系统综合观测研...
够时尚 够前卫 ——10款爱玛经典车型图赏 爱玛电动车——星钻 爱玛电动车——摩登 爱玛电动车——迪欧三代 爱玛电动车——小海螺 爱玛电动车——迪奥 爱玛电动车——迪酷 爱玛电...
定了!阜阳生态园门票价格要上调,半年后执行 11月20日,阜阳市发展和改革委员会(阜阳市物价局)对阜阳市生态乐园门票价格进行批复。内容如下: 一、票价标准 成人票由现行每人...
艾诚:离开央视独立创业的哈佛美女主持 近日一组美女百变表情照片流出吸引大量眼球,或呆萌,或魅惑,或可爱。随后其背景浮出水面。艾诚,1987年生人,哈佛肯尼迪学院毕业,前...
拒绝天王选择“劈叉成瘾”倪震,58岁改写人生,我们都被周慧敏骗了 阅读此文之前,麻烦您点击一下“关注”,既方便您进行讨论和分享,又能给您带来不一样的参与感,感谢您的支持...
家里是普通人没有背景去当兵有前途吗?网友的回答扎心了。 在世事变迁之间,一个普通人家的孩子是否有资格踏入军旅,成为许多年轻人心头的一个迷茫话题。这个问题牵扯到军队是...
7天3次挑衅!美菲在南海疯狂试探,中方连演5天划出“禁区” 最近7天,南海局势如同点燃的火药桶!美菲接连发起3次挑衅:篡改地图、军舰闯岛、联合军演,妄图掀起惊涛骇浪。但他...
谭松韵深陷隐婚风波紧急辟谣,男主波及多位当红女星细节令人狐疑 近日,谭松韵被网传隐婚,老公传得五花八门,又是万达总裁,又是圈内投资人,传得有模有样的,名字都扒出来了...
山东财经大学考研数据,作为八大财经院校之一,专硕分数配得上 山东财经大学考研数据,作为八大财经院校之一,专硕分数配得上 考研不知道考什么,请关注考研赵师兄今天推荐的...
九眼桥的传说 九眼桥位于成都市锦江区,古名宏济桥,又叫做镇江桥,最早建造于万历二十一年(1593年),它由当时的布政使余一龙所建。之后又经过几次补修,第一次补修是在清朝...
“地下北三环”12号线年内开通,三元桥站将现“京桥涟影” 春节过后,北京在建地铁陆续复产复工。2月20日,新京报记者前往正在建设中的“地下北三环”北京地铁12号线三元桥站进...
炫酷的亿万富翁“撒盐哥”,为何从人人热捧到人人憎恶? 2022年11月,炎热的卡塔尔首都多哈,在疫情后首次举办了足球世界杯,经过一个月的激烈角逐,阿根廷队最终夺冠。就在队长...
西上海再添戏剧地标——上海保利城市剧院启动,首演季八大系列开启超剧场狂欢 2020 年初,坐落于上海市闵行区春申文化广场的城市剧院,加入了“保利”大家庭, 成为北京保利院线...
陕西省宝鸡市4区8县综合实力排名,你的家乡是第几? 【壹】概况 宝鸡市,陕C,古称陈仓,地处关中平原西部,是关中城市群和关天经济区副中心城市;截止2023年末,全市总面积181...
演技烂得像混子,《六姊妹》一群神仙混进俩“关系户”,真招人嫌 在电视剧的浩瀚星空中,总有一些剧集如璀璨星辰,一经亮相便吸引无数目光。《六姊妹》便是这样一部承载着无数...
1959年特赦的第一批战犯都是谁,进战犯管理所之前他们是什么职位 #历史# 新中国成立后,我国设置了多个战犯管理所,关押和改造国民党或伪政权的战犯。当时,新中国对待这些战犯...
开学在即,为何这4位上海主持人的心情“五味杂陈”? 重返校园,主持人家长的暑假观察 前言 随着暑假的结束,新学期即将开始,学生们即将告别自由自在的假期,重返校园开始新的...
广西综合实力强的县级中学,桂林的最多,其次玉林,柳州只有一所 南宁二中、南宁三中、柳州高中、柳铁一中、桂林18中、桂林中学、玉林高中、玉林一中,这些都是很牛的公办市中...
被台湾审查单位删改了21处,这部影片仍然值得一看 《孽子》 (1986,台湾) 编剧:孙正国、白先勇 导演:虞戡平 主演:邵昕、苏明明、孙越 故事: 1980年代的台北,叛逆少年李青被...
什么是“贡茶”?原来历朝“贡茶”就在我们身边 “贡茶”,顾名思义就是中国古代专门进贡皇室供帝王享用的茶叶。 贡茶起源于西周,“周武王伐纣,实得巴蜀之师”,当时巴蜀作...